최소 신장 트리

MST

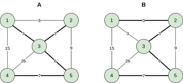
최소 신장 트리(MST, Minimum Spanning Tree)는 그래프 G=(V,E)G = (V, E)에서 정점 집합 VV에 대해 간선의 가중치의 합이 최소가 되는 간선의 개수를 V1V - 1개만 남겨 놓은 트리이다. 트리임으로 사이클이 존재하면 안 되며 그래프에 따라 MST는 여러 형태로 존재할 수도 있다. 위의 그림 A와 B모두 MST이다.

그래프에서 MST를 구하는 대표적인 알고리즘 두 가지가 있는데 크루스칼 알고리즘(Kruskal’s algorithm)프림 알고리즘(Prim’s algorithm)이 있다. 크루스칼의 알고리즘은 상호 배타적 집합(disjoint set) 자료구조를 사용하는 좋은 예이고 프림의 알고리즘의 경우 그래프에서 최단 거리를 찾는 Dijkstra’s algorithm과 형태가 유사하다.

Kruskal’s Algorithm

크루스칼의 알고리즘은 가중치가 작은 것들 먼저 선택하는 것을 기본적인 알고리즘으로 둔다. 요약하자면 다음과 같다.

  • 간선들을 가중치를 기준으로 오름차순으로 정렬.
  • 간선들을 순서대로 하나씩 선택하며 이미 선택된 간선들과 사이클(cycle)을 형성하면 선택하지 않는다.
  • V1V-1개의 간선이 선택되면 종료한다.

Kruskal Example

먼저 위와 같이 생긴 그래프가 있다고 할 때 가중치가 낮은 순서대로 정렬하면 그림의 오른쪽 테이블처럼 정렬을 할 수 있다. 이미 선택된 정점들은 T 집합에 속한다고 하자.

Kruskal Example

정렬된 테이블을 기반으로 가중치가 제일 낮은 간선을 확인한다. 정점 23을 연결하는 간선을 T에 속하게 한다.

Kruskal Example

31을 연결하는 간선을 T에 포함시킨다.

Kruskal Example

15를 연결하는 간선을 T에 포함시킨다.

Kruskal Example

36를 연결하는 간선을 T에 포함시킨다.

Kruskal Example

이제 가중치가 가장 작은 간선은 12를 연결하는 간선이다. 하지만 해당 간선을 선택할 경우 1, 2, 3을 연결하는 사이클이 생기게 되므로 선택하지 않는다.

Kruskal Example

47를 연결하는 간선을 T에 포함시킨다.

Kruskal Example

14를 연결하는 간선을 T에 포함시킨다.

Kruskal Example

선택된 간선 집합 T만 남겨두면 위 그림과 같은 형태가 되며 가중치의 합은 114이다.

구현

const g = [
    [1, 2, 19],
    [1, 3, 13],
    [1, 4, 30],
    [1, 5, 14],
    [1, 7, 54],
    [2, 3, 12],
    [2, 6, 39],
    [3, 6, 17],
    [3, 5, 57],
    [4, 7, 28],
    [5, 7, 76],
    [6, 7, 49]
], mst = [], V = 7;

g.sort((a, b) => a[2] - b[2]);

먼저 간선의 정보를 담는 g 배열과 찾은 간선들의 정보를 담을 mst 배열과 정점의 개수를 선언하였다. 그리고 [정점1, 정점2, 가중치]의 형태로 g 배열에 삽입 해주고 가중치가 작은 순으로 정렬한다.

const set = new DisjointSet();
set.makeSet(V);

for (let i = 0; i < g.length; i += 1) {
    if (mst.length >= V - 1) break;
    const [u, v, w] = g[i];
    if (set.find(u) !== set.find(v)) {
        set.union(u, v);
        mst.push(w);
    }
}

유니온-파인드 자료 구조를 이용해서 집합을 생성하고 mst의 크기가 V1V - 1이 될 때까지 반복문을 순회하면서 uv가 같은 집합에 속하지 않을 경우 병합하여 같은 집합에 속하게 하고 가중치 정보를 mst에 삽입한다.

Kruskal Result

유니온-파인드에 관련 포스트는 여기에서 볼 수 있다.

시간복잡도 분석

  • 먼저 V8엔진에서는 2018년 이후부터는 Timsort를 사용해 정렬을 한다. 정렬할 때 최악의 경우 O(nlogn)O(nlogn) 이므로 O(ElogE)O(ElogE)가 걸린다. V8 소스코드
  • 집합을 구성하는데 O(V)O(V)가 걸린다.
  • while문의 경우 최소 V1V - 1에서 최대 EE번 까지 수행한다.
  • pop()는 상수 시간에 해결된다.
  • 유니온-파인드 자료구조에서 경우 path compression과 weighted-union을 거쳤다면 집합에 대한 연산은 logVlog^*V 만큼의 시간이 걸리는데 이는 거의 상수로 취급할 수 있다.
  • 따라서 크루스칼의 알고리즘은 정렬에 걸리는 시간에 좌우된다고 볼 수 있으므로 최종적으로 O(ElogE)O(ElogE)이다.

O(ElogE)+O(V)+O(E)=O(ElogE)O(ElogE) + O(V) + O(E) = O(ElogE)

Prim’s Algorithm

크루스칼의 알고리즘이 임의의 간선 중 가중치가 가장 작은 것부터 선택하여 각 간선들을 병합하는 과정이었다면 프림의 알고리즘은 시작 정점으로부터 모든 정점을 포함하는 집합을 만들 때까지 진행된다.

먼저 시작 정점을 제외한 모든 정점의 가중치 정보를 INF로 초기화하고 시작 정점은 0으로 초기화한다. 먼저 시작 정점의 인접한 정점들의 가중치를 갱신하고 이후 선택되지 않은 정점 집합 중 가중치가 가장 작은 정점을 선택하고 해당 정점의 인접 정점들의 가중치를 갱신한다. 이 과정을 반복하며 모든 정점을 선택하게 되면 종료된다. 아래 그림에서 선택된 정점들은 녹색을 값이 갱신되는 정점들은 파란색으로 표시했다.

Prim Example

시작 정점을 5번 노드로 선택했다. 가중치 0으로 초기화하고 나머지 정점들을 INF로 초기화 했다.

Prim Example

시작 정점의 인근 정점들의 가중치를 새롭게 갱신한다. 그 중 가중치가 가장 작은 1번 노드로 이동한다.

Prim Example

인접 정점들의 가중치를 갱신하고 가중치가 가장 작은 3번 노드로 이동한다.

Prim Example

인접한 정점들의 가중치를 갱신하고 2번 노드로 이동한다.

Prim Example

2번 노드에서 인접 노드들은 방문 했거나 사이클을 형성하므로 우선 순위 큐에서 가장 작은 가중치를 가진 6번 노드로 이동한다.

Prim Example

우선 순위 큐에서 첫 요소는 2번 노드를 가리키지만 이미 방문을 했기 때문에 우선 순위 큐에서 제거 하고 다음 인덱스로 넘어간다.

Prim Example

이제 방문하지 않은 노드 중 가중치가 가장 작은 4번 노드로 방문한다.

Prim Example

4번 노드의 인접 정점을 갱신하고 모든 정점이 선택되었기 때문에 종료된다.

Prim Example

선택되지 않은 간선들을 지우게되면 크루스칼과 같은 모양을 띄는 것을 볼 수 있다.

구현

const V = 7, E = 12;
const g = Array.from(Array(V + 1), () => Array());
const data = [
    [1, 2, 19],
    [1, 3, 13],
    [1, 4, 30],
    [1, 5, 14],
    [1, 7, 54],
    [2, 3, 12],
    [2, 6, 39],
    [3, 6, 17],
    [3, 5, 57],
    [4, 7, 28],
    [5, 7, 76],
    [6, 7, 49]
];

data.forEach(datum => {
    const [u, v, w] = datum;
    g[u].push([v, w]);
    g[v].push([u, w]);
});

크루스칼과 다르게 프림의 경우 각 정점의 정보가 필요하기 때문에 각 정점마다 인접한 정점의 정보를 가지고 있어야한다. 따라서 2차원 배열에 각 정점의 인접 정점의 정보를 담아준다.

const cmp = (a, b) => a[1] < b[1];

const Prim = (graph, begin) => {
    const pq = new MinHeap(null, cmp);
    const isVisited = Array(V + 1).fill(false);
    const mst = [];
    pq.insert([begin, 0]);

    while (pq.heap.length > 0) {
        if (mst.length >= V) break;
        const [node, weight] = pq.pop();
        
        if (!isVisited[node]) {
            isVisited[node] = true;
            mst.push(weight);

            for (let i = 0; i < graph[node].length; i += 1) {
                const link = graph[node][i];
                if (!isVisited[link[0]]) pq.insert(link);
            }
        }
    }
    return mst;
};

pq는 우선 순위 큐(최소 힙)으로 매개변수로 배열과 비교 함수를 받는다. 비교 함수로 사용될 함수는 cmp이며 매개변수 a가 더 작은 값인지 확인한다.

방문한 정점인지 아닌지 확인하기 위해 isVisited배열과 선택된 정점들을 담을 mst배열을 선언한뒤 pq의 시작 정점의 가중치를 0으로 초기화한다.

while문은 큐가 비어 있을 때까지 반복한다. 모든 정점을 선택했음에도 큐에 값이 들어 있을 수 있기 때문에 모든 값이 선택 되었다면 반복문을 탈출한다.

큐에서 가장 작은 가중치를 가진 값을 가져오고 만약 해당 정점을 방문하지 않았다면 mst에 값을 담고 해당 정점을 방문하였다고 표시한다. 그리고 해당 정점에 연결된 정점들 중 방문하지 않은 정점들의 정보를 큐에 새롭게 삽입한다.

Prim Result

시간 복잡도 분석

프림의 알고리즘에서 시간 복잡에 가장 큰 영향을 미치는 것은 가중치가 가장 작은 정점을 찾아내는 것과 인접한 정점의 탐색이다. 가중치가 작은 정점을 찾아낼 때 배열을 통해 정렬을 유지하며 작은 값을 추출하는 경우와 우선순위 큐를 사용하는 방법이 있다.

  • while문은 최대 VV번 순회한다.
  • 배열을 이용해 정렬할 경우 가장 작은 값을 뽑아내고, 다시 배열을 정렬하는데에 O(V)O(V)이 걸린다. 모든 간선을 보는데에 2E2E번 수행하게 되고 O(VE)O(VE)가 걸릴 수 있다.

O(V)+O(VE)=O(VE)O(V) + O(VE) = O(VE)

  • 배열이 정렬되지 않았을 경우 가장 작은 값을 찾는데 O(V)O(V)가 걸린다

O(V)×O(V)=O(V2)O(V) × O(V) = O(V^2)

  • 우선 순위 큐(최소 힙)의 경우 최초 힙을 구성하는데 O(V)O(V)가 걸리고 힙에 변동이 생긴 경우 이를 조정하는데에 O(logV)O(logV)면 충분하다. 마찬 가지로 인접한 정점에 대해 확인할 때 2E2E번 수행되고 힙을 조정하는데 O(logV)O(logV)이므로 O(ElogV)O(ElogV)가 걸릴 수 있다.

O(VlogV)+O(ElogV)=O(ElogV)O(VlogV) + O(ElogV) = O(ElogV)

결과

MST Solved

최소 스패닝 트리를 찾는 백준 1197번 문제의 결과이며 차례대로 C++로 작성한 프림, JS로 작성한 크루스칼, 프림이다.

참조(References)